首页 | 收藏本站 | 免费注册|申请VIP会员|固定排名|广告服务
中国电气自动化网首页
PLC | 电  机 | 变 频 器 | 人机界面 | 运动伺服 | 控制传动 | 自动化软件
DCS | 传感器 | 通信网络 | 现场总线 | 数据采集 | 电气开关 | 数传测控
电源 | 嵌入式 | 仪器仪表 | 低压电器 | 机器视觉 | 工业安全 | 工控机
模具 | 电线电缆 | 电子元件 | 成套设备 | 液压气动 | 制 冷
机床 | 电力能源 | 机械设备 | 石油化工 | 矿业冶金 | 水工业
物流 | 轨道交通 | 汽车电子 | 工程机械 | 输 配 电 | 电 梯
企业 供求 新闻 文库
下载 视频 招聘 期刊 会展 培训 库存 论坛 访谈 维修
热词:嵌入式 传感器 电源 主板 工控机 PLC 人机界面 变频器
产品首页 VIP会员产品 所有产品   我要发布产品
您现在的位置:中国电气自动化网首页 >> 产品 >> 详细信息
 
功率变压器过压过流保护用PTC热敏电阻 厦门市三宝盈科电子有限公司
       

功率变压器过压过流保护用PTC热敏电阻

产品型号: 齐全
产品价格: 价优
产品品牌: SP
   
在线咨询
会员在线咨询,免费获取《电气自动化简讯》双月刊
  联 系 人: 黄炜尊
所在区域: 福建.厦门
办公地址: 厦门市海沧区东孚街道鼎山中路18号
邮  编: 518000
电  话: 13423808781
移动电话: 13423808781
传  真:
电子邮件: sales1@spptc.com
公司主页: http://
 
详细描述:
 

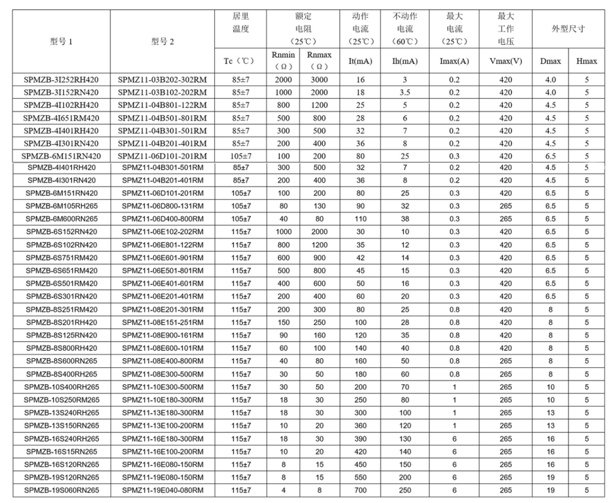
SPMZB / SPMZ11系列PTC热敏电阻是一种自动保护、自动恢复使用、无触点、无噪音、无火花的“万次保险丝”,或称“自恢复保险丝”,是继“温度保险丝”和“温度开关”之后推出的第三代保护器件。


1 应用领域

智能电度表、万用表、充电器、小型变压器、数字万用表、微电机、小型电子仪器等


2 产品优点

  型号齐全,各种体积大小、电流大小产品,适用范围广,满足不同产品的需求;性能稳定,可靠性好,一致性好


3 应用原理及外形图

应用原理如下图所示:把PTCR串联在变压器初级电路中,当电路处于正常工作状态时,通过PTCR的电流不超过额定电流即不超过PTCR的最大不动作电流,PTCR处于常态,阻值较小,不会影响被保护电路的正常工作。当电路出现故障,电流大大超过额定电流,PTCR骤然发热,呈高阻态,使电路处于相对“断开”状态,达到保护目的。当故障排除后,PTCR自动恢复正常工作。


9.jpg

3744497.png
3744496.jpg
图片1.png
6a31b3c741f4e5c3e0d80fe9f6423b8a.png

通过中国电气自动化网在线联系该用户:
关于:
需求意向:
* 验证码: 点击可刷新
 
用户: 密码:  
如果您还不是中国电气自动化网(www.ea-china.com)的注册用户,立刻免费注册

此信息未经核实,本网不承担任何法律责任。为保障您的利益,建议优先选择VIP诚信企业


广告服务 | 关于我们 | 网站地图 | 分类索引 | 服务条款 | VIP会员服务 |《电气自动化企业大全》| 版权声明

客服专线:0898-68552405     媒体合作QQ:910167442
中国电子商务服务联盟成员单位 琼ICP备17003754号
中国电气自动化网 版权所有 © Copyright By Electric Automation of China